云高(雷达测得)
摘要:云高(雷达测得)是指利用气象雷达(如天气雷达、云雷达等)发射的电磁波脉冲,通过接收云体内部水凝物(云滴、雨滴、冰晶等)的后向散射信号,反演得到的云顶高度和云底高度信息。与激光云高仪不同,雷达波能够穿透较厚的云层和降水区域,因此可以在恶劣天气条件下连续获取云层的垂直结构。雷达测得的云高通常包括云顶高度(Cloud Top Height)和云底高度(Cloud Base Height),是强对流监测、降水估测以及飞行气象保障的重要参数。 免费下载软件
后羿采集器,基于人工智能技术,无需编程,可视化操作,免费导出采集结果,只需输入网址就能自动识别采集内容的数据采集工具。
简介
云高(雷达测得)是指利用气象雷达(如天气雷达、云雷达等)发射的电磁波脉冲,通过接收云体内部水凝物(云滴、雨滴、冰晶等)的后向散射信号,反演得到的云顶高度和云底高度信息。与激光云高仪不同,雷达波能够穿透较厚的云层和降水区域,因此可以在恶劣天气条件下连续获取云层的垂直结构。雷达测得的云高通常包括云顶高度(Cloud Top Height)和云底高度(Cloud Base Height),是强对流监测、降水估测以及飞行气象保障的重要参数。
适用场景
适用于需要穿透性观测能力的场景,尤其是在降水云层、多层云结构或浓雾条件下无法使用光学设备时。典型应用包括:强对流天气监测(如雷暴、冰雹、龙卷风等)、航空气象保障(为航班提供绕飞雷雨区的决策依据)、人工影响天气作业(如云内播撒催化剂的位置判断)、气候研究中云辐射效应的分析,以及水文气象中的降水估测与洪水预警。
优点:具备强穿透能力,不受云层厚度、降水或雾的影响,能够全天候连续工作;可同时获取云顶高度、云底高度、回波强度及垂直结构信息,支持三维云分析;适用于大范围扫描,探测距离远优于地面光学设备。
缺点:近距离和低空存在探测盲区,低云或浅薄云层难以有效捕捉;反演算法依赖于水凝物浓度,薄云或干对流云可能回波过弱导致漏测;设备成本高、部署复杂,通常以固定站或移动雷达车形式存在;垂直分辨率相对激光云高仪较低。
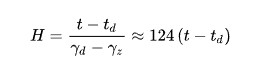
图例
1. 云高。

2. 云高计算公式。

相关名词
参考资料
https://baike.baidu.com/item/%E4%BA%91%E9%AB%98/94499?fr=aladdin
https://baike.baidu.com/item/%E6%B5%8B%E4%BA%91%E9%9B%B7%E8%BE%BE/11051640?fr=aladdin